Folie 1
Folie 2
Folie 3
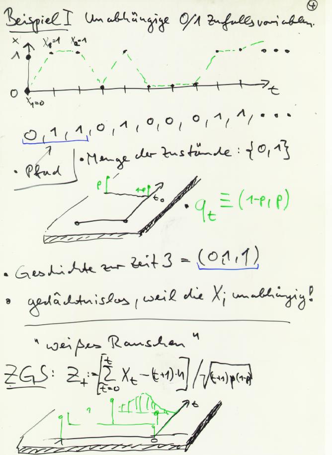
Folie 4
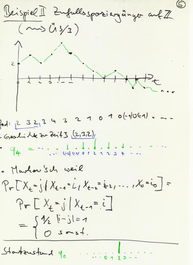
Folie 5
Folie 6
Folie 7
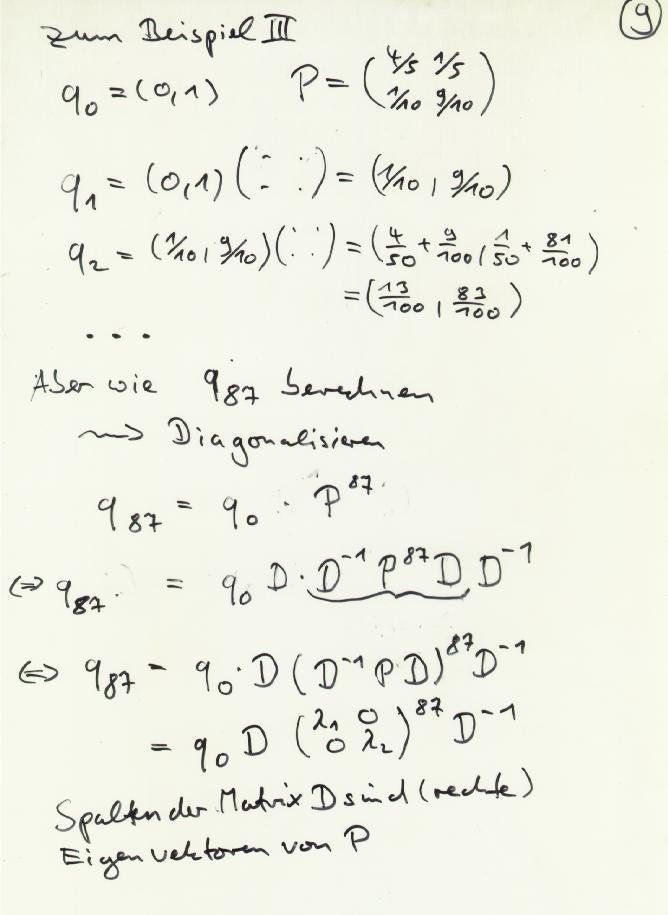
Folie 8
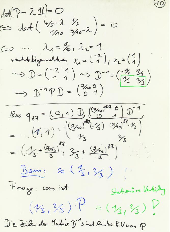
Folie 9
Folie 10