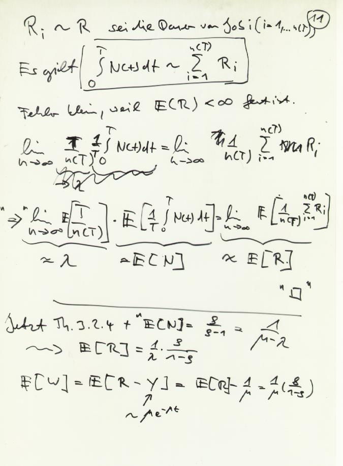
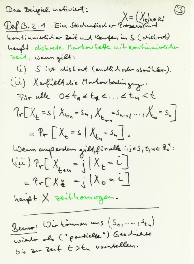
Schreibfehler sind m"oglich, im Zweifelsfalle siehe Skript. Folie 1 Folie 2 Folie 3 Folie 4 Folie 5 Folie 6 Folie 7 Folie 8 Folie 9 Folie 10 Folie 11